KNN算法

KNN算法简介

【理解】KNN算法思想

K-近邻算法(K Nearest Neighbor,简称KNN)。比如:根据你的“邻居”来推断出你的类别

image-20230831143226786

KNN算法思想:如果一个样本在特征空间中的 k 个最相似的样本中的大多数属于某一个类别,则该样本也属于这个类别

思考:如何确定样本的相似性?

样本相似性:样本都是属于一个任务数据集的。样本距离越近则越相似。

利用K近邻算法预测电影类型

image-20230831143403932

image-20230831143443988

image-20230831143436328

image-20230831143456524

image-20230831143430741

image-20230831143503916

image-20230831143416184

【知道】K值的选择

image-20230831152503338

【知道】KNN的应用方式

  • 解决问题:分类问题、回归问题

  • 算法思想:若一个样本在特征空间中的 k 个最相似的样本大多数属于某一个类别,则该样本也属于这个类别

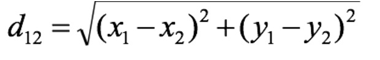
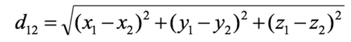
  • 相似性:欧氏距离

  • 分类问题的处理流程:

image-20230831145236097

1.计算未知样本到每一个训练样本的距离

2.将训练样本根据距离大小升序排列

3.取出距离最近的 K 个训练样本

4.进行多数表决,统计 K 个样本中哪个类别的样本个数最多

5.将未知的样本归属到出现次数最多的类别

  • 回归问题的处理流程:

image-20230831145250261

1.计算未知样本到每一个训练样本的距离

2.将训练样本根据距离大小升序排列

3.取出距离最近的 K 个训练样本

4.把这个 K 个样本的目标值计算其平均值

5.作为将未知的样本预测的值

API介绍

学习目标:

1.掌握KNN算法分类API

2.掌握KNN算法回归API

【实操】分类API

KNN分类API:

1
sklearn.neighbors.KNeighborsClassifier(n_neighbors=5) 

​ n_neighbors:int,可选(默认= 5),k_neighbors查询默认使用的邻居数

【实操】回归API

KNN分类API:

1
sklearn.neighbors.KNeighborsRegressor(n_neighbors=5)
1
2
3
4
5
6
7
8
9
10
11
12
13
14
15
16
17
18
19
20
# 1.工具包
from sklearn.neighbors import KNeighborsClassifier,KNeighborsRegressor
# from sklearn.neighbors import KNeighborsRegressor

# 2.数据(特征工程)
# 分类
# x = [[0,2,3],[1,3,4],[3,5,6],[4,7,8],[2,3,4]]
# y = [0,0,1,1,0]
x = [[0,1,2],[1,2,3],[2,3,4],[3,4,5]]
y = [0.1,0.2,0.3,0.4]

# 3.实例化
# model =KNeighborsClassifier(n_neighbors=3)
model =KNeighborsRegressor(n_neighbors=3)

# 4.训练
model.fit(x,y)

# 5.预测
print(model.predict([[4,4,5]]))

距离度量方法

学习目标:

1.掌握欧氏距离的计算方法

2.掌握曼哈顿距离的计算方法

3.了解切比雪夫距离的计算方法

4.了解闵可夫斯基距离的计算方法

【掌握】欧式距离

image-20230831153948263

【掌握】曼哈顿距离

image-20230831154005301

【了解】切比雪夫距离

image-20230831154033908

【了解】闵氏距离

•闵可夫斯基距离 Minkowski Distance 闵氏距离,不是一种新的距离的度量方式。而是距离的组合 是对多个距离度量公式的概括性的表述

image-20230831154217579

特征预处理

【知道】为什么进行归一化、标准化

特征的单位或者大小相差较大,或者某特征的方差相比其他的特征要大出几个数量级容易影响(支配)目标结果,使得一些模型(算法)无法学习到其它的特征。

image-20230831155159883

【掌握】归一化

通过对原始数据进行变换把数据映射到【mi,mx】(默认为[0,1])之间

image-20230831155813699

数据归一化的API实现

1
sklearn.preprocessing.MinMaxScaler (feature_range=(0,1)… )

feature_range 缩放区间

  • 调用 fit_transform(X) 将特征进行归一化缩放

归一化受到最大值与最小值的影响,这种方法容易受到异常数据的影响, 鲁棒性较差,适合传统精确小数据场景

【掌握】标准化

通过对原始数据进行标准化,转换为均值为0标准差为1的标准正态分布的数据

image-20230831160053298

  • mean 为特征的平均值
  • σ 为特征的标准差

数据标准化的API实现

1
sklearn.preprocessing. StandardScaler()

调用 fit_transform(X) 将特征进行归一化缩放

1
2
3
4
5
6
7
8
9
10
11
12
13
14
15
16
# 1.导入工具包
from sklearn.preprocessing import MinMaxScaler,StandardScaler

# 2.数据(只有特征)
x = [[90, 2, 10, 40], [60, 4, 15, 45], [75, 3, 13, 46]]

# 3.实例化(归一化,标准化)
# process =MinMaxScaler()
process =StandardScaler()

# 4.fit_transform 处理1
data =process.fit_transform(x)
# print(data)

print(process.mean_)
print(process.var_)

对于标准化来说,如果出现异常点,由于具有一定数据量,少量的异常点对于平均值的影响并不大

【实操】利用KNN算法进行鸢尾花分类

鸢尾花Iris Dataset数据集是机器学习领域经典数据集,鸢尾花数据集包含了150条鸢尾花信息,每50条取自三个鸢尾花中之一:Versicolour、Setosa和Virginica

每个花的特征用如下属性描述:

代码实现:

1
2
3
4
5
6
7
8
9
10
11
12
13
14
15
16
17
18
19
20
21
22
23
24
25
26
27
28
29
30
31
32
33
34
35
36
37
38
39
40
41
42
43
44
45
46
47
48
49
50
51
52
53
54
55
56
57
58
59
60
61
62
63
64
65
66
67
68
69
70
71
72
73
74
75
76
77
78
79
80
81
82
83
84
85
86
87
88
89
90
91
92
93
94
95
96
97
98
99
100
101
102
103
104
105
106
107
108
109
110
111
112
113
114
115
116
117
118
119
120
# 导入工具包
from sklearn.datasets import load_iris # 加载鸢尾花测试集的.
import seaborn as sns
import pandas as pd
import matplotlib.pyplot as plt
from sklearn.model_selection import train_test_split # 分割训练集和测试集的
from sklearn.preprocessing import StandardScaler # 数据标准化的
from sklearn.neighbors import KNeighborsClassifier # KNN算法 分类对象
from sklearn.metrics import accuracy_score # 模型评估的, 计算模型预测的准确率


# 1. 定义函数 dm01_loadiris(), 加载数据集.
def dm01_loadiris():
# 1. 加载数据集, 查看数据
iris_data = load_iris()
print(iris_data) # 字典形式, 键: 属性名, 值: 数据.
print(iris_data.keys())

# 1.1 查看数据集
print(iris_data.data[:5])
# 1.2 查看目标值.
print(iris_data.target)
# 1.3 查看目标值名字.
print(iris_data.target_names)
# 1.4 查看特征名.
print(iris_data.feature_names)
# 1.5 查看数据集的描述信息.
print(iris_data.DESCR)
# 1.6 查看数据文件路径
print(iris_data.filename)

# 2. 定义函数 dm02_showiris(), 显示鸢尾花数据.
def dm02_showiris():
# 1. 加载数据集, 查看数据
iris_data = load_iris()
# 2. 数据展示
# 读取数据, 并设置 特征名为列名.
iris_df = pd.DataFrame(iris_data.data, columns=iris_data.feature_names)
# print(iris_df.head(5))
iris_df['label'] = iris_data.target

# 可视化, x=花瓣长度, y=花瓣宽度, data=iris的df对象, hue=颜色区分, fit_reg=False 不绘制拟合回归线.
sns.lmplot(x='petal length (cm)', y='petal width (cm)', data=iris_df, hue='label', fit_reg=False)
plt.title('iris data')
plt.show()


# 3. 定义函数 dm03_train_test_split(), 实现: 数据集划分
def dm03_train_test_split():
# 1. 加载数据集, 查看数据
iris_data = load_iris()
# 2. 划分数据集, 即: 特征工程(预处理-标准化)
x_train, x_test, y_train, y_test = train_test_split(iris_data.data, iris_data.target, test_size=0.2,
random_state=22)
print(f'数据总数量: {len(iris_data.data)}')
print(f'训练集中的x-特征值: {len(x_train)}')
print(f'训练集中的y-目标值: {len(y_train)}')
print(f'测试集中的x-特征值: {len(x_test)}')

# 4. 定义函数 dm04_模型训练和预测(), 实现: 模型训练和预测
def dm04_model_train_and_predict():
# 1. 加载数据集, 查看数据
iris_data = load_iris()

# 2. 划分数据集, 即: 数据基本处理
x_train, x_test, y_train, y_test = train_test_split(iris_data.data, iris_data.target, test_size=0.2, random_state=22)

# 3. 数据集预处理-数据标准化(即: 标准的正态分布的数据集)
transfer = StandardScaler()
# fit_transform(): 适用于首次对数据进行标准化处理的情况,通常用于训练集, 能同时完成 fit() 和 transform()。
x_train = transfer.fit_transform(x_train)
# transform(): 适用于对测试集进行标准化处理的情况,通常用于测试集或新的数据. 不需要重新计算统计量。
x_test = transfer.transform(x_test)

# 4. 机器学习(模型训练)
estimator = KNeighborsClassifier(n_neighbors=5)
estimator.fit(x_train, y_train)

# 5. 模型评估.
# 场景1: 对抽取出的测试集做预测.
# 5.1 模型评估, 对抽取出的测试集做预测.
y_predict = estimator.predict(x_test)
print(f'预测结果为: {y_predict}')

# 场景2: 对新的数据进行预测.
# 5.2 模型预测, 对测试集进行预测.
# 5.2.1 定义测试数据集.
my_data = [[5.1, 3.5, 1.4, 0.2]]
# 5.2.2 对测试数据进行-数据标准化.
my_data = transfer.transform(my_data)
# 5.2.3 模型预测.
my_predict = estimator.predict(my_data)
print(f'预测结果为: {my_predict}')

# 5.2.4 模型预测概率, 返回每个类别的预测概率
my_predict_proba = estimator.predict_proba(my_data)
print(f'预测概率为: {my_predict_proba}')

# 6. 模型预估, 有两种方式, 均可.
# 6.1 模型预估, 方式1: 直接计算准确率, 100个样本中模型预测正确的个数.
my_score = estimator.score(x_test, y_test)
print(my_score) # 0.9666666666666667

# 6.2 模型预估, 方式2: 采用预测值和真实值进行对比, 得到准确率.
print(accuracy_score(y_test, y_predict))


# 在main方法中测试.
if __name__ == '__main__':
# 1. 调用函数 dm01_loadiris(), 加载数据集.
# dm01_loadiris()

# 2. 调用函数 dm02_showiris(), 显示鸢尾花数据.
# dm02_showiris()

# 3. 调用函数 dm03_train_test_split(), 查看: 数据集划分
# dm03_train_test_split()

# 4. 调用函数 dm04_模型训练和预测(), 实现: 模型训练和预测
dm04_model_train_and_predict()

超参数选择的方法

学习目标:

1.知道交叉验证是什么?

2.知道网格搜索是什么?

3.知道交叉验证网格搜索API函数用法

4.能实践交叉验证网格搜索进行模型超参数调优

5.利用KNN算法实现手写数字识别

【知道】交叉验证

交叉验证是一种数据集的分割方法,将训练集划分为 n 份,其中一份做验证集、其他n-1份做训练集集

image-20230831163236810

交叉验证法原理:将数据集划分为 cv=10 份:

1.第一次:把第一份数据做验证集,其他数据做训练

2.第二次:把第二份数据做验证集,其他数据做训练

3…. 以此类推,总共训练10次,评估10次。

4.使用训练集+验证集多次评估模型,取平均值做交叉验证为模型得分

5.若k=5模型得分最好,再使用全部训练集(训练集+验证集) 对k=5模型再训练一边,再使用测试集对k=5模型做评估

image-20230831163329892

【知道】网格搜索

image-20230831163559554

image-20230910154650041

交叉验证网格搜索的API:

image-20230831163636694

交叉验证网格搜索在鸢尾花分类中的应用:

1
2
3
4
5
6
7
8
9
10
11
12
13
14
15
16
17
18
19
20
21
22
23
24
25
26
27
28
29
30
31
32
33
34
35
36
37
38
39
40
41
from sklearn.datasets import load_iris          # 加载鸢尾花测试集的.
from sklearn.model_selection import train_test_split, GridSearchCV # 分割训练集和测试集的, 网格搜索的
from sklearn.preprocessing import StandardScaler # 数据标准化的
from sklearn.neighbors import KNeighborsClassifier # KNN算法 分类对象
from sklearn.metrics import accuracy_score # 模型评估的, 计算模型预测的准确率


# 1. 获取数据集.
iris_data = load_iris()

# 2. 数据基本处理-划分数据集.
x_train, x_test, y_train, y_test = train_test_split(iris_data.data, iris_data.target, test_size=0.2, random_state=22)

# 3. 数据集预处理-数据标准化.
transfer = StandardScaler()
x_train = transfer.fit_transform(x_train)
x_test = transfer.transform(x_test)

# 4. 模型训练.
# 4.1 创建估计器对象.
estimator = KNeighborsClassifier()
# 4.2 使用校验验证网格搜索. 指定参数范围.
param_grid = {"n_neighbors": range(1, 10)}
# 4.3 具体的 网格搜索过程 + 交叉验证.
# 参1: 估计器对象, 参2: 参数范围, 参3: 交叉验证的折数.
estimator = GridSearchCV(estimator=estimator, param_grid=param_grid, cv=5)
# 具体的模型训练过程.
estimator.fit(x_train, y_train)


# 4.4 交叉验证, 网格搜索结果查看.
print(estimator.best_score_) # 模型在交叉验证中, 所有参数组合中的最高平均测试得分
print(estimator.best_estimator_) # 最优的估计器对象.
print(estimator.cv_results_) # 模型在交叉验证中的结果.
print(estimator.best_params_) # 模型在交叉验证中的结果.


# 5. 得到最优模型后, 对模型重新预测.
estimator = KNeighborsClassifier(n_neighbors=6)
estimator.fit(x_train, y_train)
print(f'模型评估: {estimator.score(x_test, y_test)}') # 因为数据量和特征的问题, 该值可能小于上述的平均测试得分.

利用KNN算法实现手写数字识别

image-20230831164024844

MNIST手写数字识别 是计算机视觉领域中 “hello world”级别的数据集

  • 1999年发布,成为分类算法基准测试的基础
  • 随着新的机器学习技术的出现,MNIST仍然是研究人员和学习者的可靠资源。

本次案例中,我们的目标是从数万个手写图像的数据集中正确识别数字。

数据介绍

数据文件 train.csv 和 test.csv 包含从 0 到 9 的手绘数字的灰度图像。

  • 每个图像高 28 像素,宽28 像素,共784个像素。

  • 每个像素取值范围[0,255],取值越大意味着该像素颜色越深

  • 训练数据集(train.csv)共785列。第一列为 “标签”,为该图片对应的手写数字。其余784列为该图像的像素值

  • 训练集中的特征名称均有pixel前缀,后面的数字([0,783])代表了像素的序号。

像素组成图像如下:

1
2
3
4
5
6
000 001 002 003 ... 026 027
028 029 030 031 ... 054 055
056 057 058 059 ... 082 083
| | | | ...... | |
728 729 730 731 ... 754 755
756 757 758 759 ... 782 783

数据集示例如下:

1
2
3
4
5
6
7
8
9
10
11
12
13
14
15
16
17
18
19
20
21
22
23
24
25
26
27
28
29
30
31
32
33
34
35
36
37
38
39
40
41
42
43
44
45
46
47
48
49
50
51
52
53
54
55
56
57
58
59
60
61
62
63
64
65
66
67
68
69
70
71
72
73
74
75
76
77
78
79
80
81
82
83
84
import matplotlib.pyplot as plt
import pandas as pd
from sklearn.model_selection import train_test_split
from sklearn.neighbors import KNeighborsClassifier
import joblib
from collections import Counter


# 1. 显示图片.
def show_digit(idx):
# 1.1 加载数据.
data = pd.read_csv('手写数字识别.csv')
# 1.2非法值校验.
if idx < 0 or idx > len(data) - 1:
return
# 1.3 打印数据基本信息
x = data.iloc[:, 1:]
y = data.iloc[:, 0]
print(f'数据基本信息: {x.shape})')
print(f'类别数据比例: {Counter(y)}')

# 显示图片
# 1.4 将数据形状修改为: 28*28
digit = x.iloc[idx].values.reshape(28, 28)
# 1.5 关闭坐标轴标签
plt.axis('off')
# 1.6 显示图像
plt.imshow(digit, cmap='gray') # 灰色显示
plt.show()


# 2. 训练模型.
def train_model():
# 1. 加载数据.
data = pd.read_csv('手写数字识别.csv')
x = data.iloc[:, 1:]
y = data.iloc[:, 0]

# 2.数据预处理, 归一化.
x = x / 255

# 3. 分割训练集和测试集.
# stratify: 按照y的类别比例进行分割
x_train, x_test, y_train, y_test = train_test_split(x, y, test_size=0.2, stratify=y, random_state=21)

# 4. 训练模型
estimator = KNeighborsClassifier(n_neighbors=3)
estimator.fit(x_train, y_train)

# 5. 模型评估
my_score = estimator.score(x_test, y_test)
print(f'测试集准确率为: {my_score:.2f}')

# 6. 模型保存.
joblib.dump(estimator, 'model/knn.pth')

# 3. 测试模型.
def use_model():
# 1. 读取图片
img = plt.imread('data/demo.png') # 灰度图, 28*28像素
plt.imshow(img, cmap='gray')
plt.show()

# 2. 加载模型.
estimator = joblib.load('model/knn.pth')

# 3. 预测图片.
img = img.reshape(1, -1) # 形状从: (28, 28) => (1, 784)
# print(img.shape)
y_test = estimator.predict(img)
print(f'您绘制的数字是: {y_test}')

# 在main函数中测试
if __name__ == '__main__':
# 1. 调用函数, 查看图片.
# show_digit(0)
# show_digit(10)
# show_digit(100)

# 2. 训练模型.
# train_model()

# 3. 测试模型
use_model()